Exchange the CEC enclosure disk drive backplane
Before you begin
Use approved ESD procedures to prevent damage.
Attention:
- This procedure is not a stand-alone procedure. Customer disruption and damage to the hardware might occur when microcode and power boundaries are not in the proper conditions for this service action.
- If a serviceable event FRU repair directed you to this procedure, the microcode and power boundaries are already set.
- If a serviceable event FRU repair did not direct you to this procedure, see MAP1230 Replace a FRU without using a serviceable event.
Notes:
- All the cables and FRUs to be removed must be uniquely identified so they can be reinstalled correctly.
- If an installed earthquake resistance kit prevents you from accessing this FRU, refer to MAP1600.
Preparing the CEC enclosure to remove and replace the disk drive backplane
Procedure
- Use a replacement part with a valid DS8000® part number to ensure it has the proper firmware, VPD, and/or configuration to ensure it is compatible with the DS8000 service procedures. Attempting to use a generic server FRU might fail and require next level of support to recover.
-
All parts being removed must be marked or identified so they can be installed into their
original locations.
Note: Failure to do this can extend the service duration and may require next level of support assistance.
- The management console keyboard can be moved between the operating and stowed position as needed to allow service clearance above the CEC enclosure.
-
Use the front and rear blue identify LEDs to determine the CEC enclosure to be repaired. Both
blue LEDs should be lit.
- CEC control panel blue identify LED
as shown in Figure 1. - CEC enclosure rear blue identify LED
as shown in Figure 2.
Note: If both the front and rear CEC enclosure identify LEDs are not lit, use the location code listed in the serviceable event FRU list. See MAP1245 Finding FRUs by using location codes.Figure 1. Control panel LEDs 
Figure 2. CEC enclosure rear LEDs 
- CEC control panel blue identify LED
- Verify that the CEC enclosure is in the
power-off state. See Figure 3
- At the rear of the CEC enclosure, view all CEC enclosure power supply DC LEDs.
- Are all DC (output) LEDs flashing?
- Yes, continue with the next step.
- No, do not continue with this FRU replacement. Go to MAP4841 CEC enclosure fails to power off during service processor repair (Models 961, 98x).
Figure 3. Location of the power supplies and LEDs (Models 980, 983, 984) 
-
Attach the electrostatic discharge (ESD) wrist strap.
Attention:
- Attach an electrostatic discharge (ESD) wrist strap to an unpainted metal surface of your hardware to prevent the electrostatic discharge from damaging your hardware.
- When using an ESD wrist strap, follow all electrical safety procedures. An ESD wrist strap is used for static control. It does not increase or decrease your risk of receiving electric shock when using or working on electrical equipment.
- If you do not have an ESD wrist strap, just prior to removing the product from ESD packaging and installing or replacing hardware, touch an unpainted metal surface of the system for a minimum of 5 seconds.
- Disconnect the power cords
from the CEC with the DC (output)
LEDs flashing. See Figure 4.
Notes:- Ensure the power cords are correctly labeled.
- The power supply LEDs might continue to flash for up to 20 seconds while internal power is discharged.
- The power cord is fastened to the system using the hook-and-loop
fastener
. Unstrap the fastener to allow the
enclosure to be placed in the service position.
Figure 4. Removing the power cords (Models 980, 983, 984) 
-
Observe the CEC enclosure control panel green power button LED
. See Figure 5.
- If it is off, go to the next step.
- If it is flashing, the CEC enclosure is still in the power-off state. DO NOT CONTINUE. Ensure that you have unplugged the power cables.
Figure 5. Control panel LEDs 
- Disconnect all remaining cables from the
rear of the CEC enclosure. See Table 1 and Figure 6.
Table 1. CEC enclosure cable connections Connection Description P1-T1 (HMC 1) FSP Ethernet P1-T2 (HMC 2) FSP Ethernet P1-C6-T1, P1-C6-T2 PCIe to I/O enclosures (Model 980, 984) P1-C7-T1, P1-C7-T2 PCIe to I/O enclosures (Model 980, 984) P1-C7-T1, P1-C7-T2, P1-C7-T3, P1-C7-T4 PCIe to I/O enclosures (2U) (Model 983) P1-C8-T1, P1-C8-T2 i2c to RPCs P1-C10-T1, P1-C10-T2 LPAR Ethernet P1-C10-T3, P1-C10-T4 Customer network (optional feature, if used) P1-C11-T1, P1-C11-T2
P1-C11-T3, P1-C11-T4Customer network (optional feature, if used) P1-C12-T1, P1-C12-T2 RS485 to RPCs Figure 6. CEC enclosure location codes (rear view) (Models 980 and 984) 
- Remove the front cover.
- Ensure that you have the electrostatic discharge (ESD) wrist strap attached. If not, attach it now.
- Remove the two shipping screws
(if present) that secure the system
to the rack. - Pull the cover away from the system. The cover has an indentation where you can hold onto it more easily.
Figure 7. Removing the front cover 
-
Place the CEC enclosure into the service position.
-
Remove the front screws
(if present) that secure the
enclosure to the rack.
Figure 8. Removing the front screws 
-
Release the side latches
and pull the latches to slide
out the enclosure assembly.
Figure 9. Releasing the side latches 
-
Remove the front screws
- Remove the service access cover.
- Ensure that you have the electrostatic discharge (ESD) wrist strap attached. If not, attach it now.
- Release the latch by pushing the release latch
in the direction shown. - Slide the cover
off the system unit. When the front of the service access
cover has cleared the upper frame ledge, lift the cover up and off
the system unit Note: For proper cooling and airflow, replace the cover before turning on the system.Figure 10. Removing the service access cover 
- Attach the electrostatic discharge (ESD) wrist strap.
Your system has an ESD pin on the backplane as shown in Figure 11. Attach the ESD wrist
strap to the ESD pin Note:
- Attach an electrostatic discharge (ESD) wrist strap to an unpainted metal surface of your hardware to prevent the electrostatic discharge from damaging your hardware.
- When using an ESD wrist strap, follow all electrical safety procedures. An ESD wrist strap is used for static control. It does not increase or decrease your risk of receiving electric shock when using or working on electrical equipment.
- If you do not have an ESD wrist strap, just prior to removing the product from ESD packaging and installing or replacing hardware, touch an unpainted metal surface of the system for a minimum of 5 seconds.
Figure 11. Location of the ESD pin 
- Remove the control panel. Press the terracotta tab and
then slide the control panel straight out of the slot.
Figure 12. Removing the control panel 
- Remove the Slimline media device (DVD), if present.
- Press the retaining tab
toward the system until the Slimline media device is unseated
from the media bay. See Figure 13.
- Pull the Slimline media device
away from the system, in the direction shown. Figure 13. Removing the Slimline media device 
- Press the retaining tab
- Unplug but do not remove the disk drives from their slots.
Pull the drives out far enough to prevent them from interfering with
the removal of the disk drive backplane.
- Unlock the drive handle
by pressing the handle latch
and pulling it out toward you, as shown in Figure 14. If the handle is not all the way out,
the drive cannot slide out of the system. - Support the bottom of the drive as you slide it out
of the system. Hold the drive by its sides.
Figure 14. Removing a disk drive 
- Unlock the drive handle
Removing the CEC enclosure disk drive backplane
Procedure
To remove the CEC enclosure disk drive backplane, complete the following steps.
- Ensure that you have the electrostatic discharge (ESD) wrist strap attached. If not, attach it now.
- Remove the fan cage.
- Release the blue touch point latches
by pulling them up, as shown in Figure 15. This action unseats
the fan cage. - Pull up the fan cage out of the system by holding on
to the blue touch point latches
. Figure 15. Removing the fan cage 
- Release the blue touch point latches
- Label the front SAS cables, paying attention to the connectors
each cable attaches to on the disk drive backplane and the SAS RAID
internal adapter. Disconnect the front SAS cables from the disk drive
backplane by pressing the latch
and unplugging the cable as shown in Figure 16. Figure 16. Disconnecting the front SAS cables 
- Unseat the front SAS cables from the cable guide on the
side of the system chassis. See Figure 17.
Figure 17. Unseating the SAS cables 
- Label, disconnect, and remove the signal,
and control panel cables
, and the power Y cable
, from the disk drive backplane and
system backplane. See Figure 18.
Figure 18. Removing the power, signal, and control panel cables 
- Make sure that all cables are carefully positioned out of the way, such that the disk drive backplane can be easily lifted and removed.
- Carefully unscrew the disk drive backplane's captive thumbscrews
until fully loose as shown in Figure 19. - Tilt the disk drive backplane in the direction that is shown and then slide it to the side so that the disk drive backplane cutouts clear the tabs in the chassis.
- Remove the disk drive backplane.
Figure 19. Removing the disk drive backplane 
Replacing the CEC enclosure disk drive backplane
Procedure
To replace the CEC enclosure disk drive backplane, complete the following steps.
- Ensure that you have the electrostatic discharge (ESD) wrist strap attached. If not, attach it now.
- Align the disk drive backplane with its corresponding connectors inside the system.
- Using the ledge at the top of the disk drive backplane and facing towards the front of the system, replace the backplane. Tilt it towards the rear and lower it down into the chassis. Align the backplane cutouts with the tabs in the chassis to insert it into the system. Shift the backplane slightly to the left to secure it in place, as shown in Figure 20.
- Carefully tighten the captive thumbscrews
until each one is secured to the system's chassis. Figure 20. Replacing the disk drive backplane 
- Reconnect the signal and control panel cables
, and the power Y cable
, to the disk drive backplane as shown in Figure 21. Figure 21. Reconnecting the power, signal, and control panel cables 
- Reseat the front SAS cables into the guide block on the
side of the chassis as shown in Figure 22.
Figure 22. Reseating the front SAS cables 
- Reconnect the front SAS cables to the disk drive backplane
as is shown in Figure 23. Push the connector
in until the connector latch clicks.
Figure 23. Reconnecting the front SAS cables
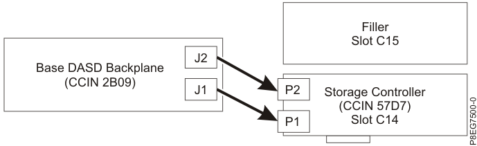
Note: With one PCIe3 x8 SAS RAID internal adapter (CCIN 57D7) in slot P1-C14 (base-storage feature), one SAS cable connects the lower disk drive backplane connector (J1) to the P1 connector on the adapter. A SAS cable connects the upper disk drive backplane connector (J2) to the P2 connector on the same adapter. See Figure 24.Figure 24. Reconnecting the SAS cable in a base-storage configuration 
- Replace the fan cage with the fans installed.
- Ensure that there are no cables obstructing the fan
cage installation area. Important: Failure to ensure that the cables are tucked out of the way can damage the cables.
- Lower the fan cage into the system by holding on to
the blue touch point latches
, as shown in Figure 25. - Push down on the fan cage to seat in the system.
- Rotate the latches
as shown in Figure 25, to lock the fan
cage in place. Figure 25. Replacing the fan cage in a rack-mounted system 
- Ensure that there are no cables obstructing the fan
cage installation area.
Preparing the CEC enclosure for operation after removing and replacing the disk drive backplane
Procedure
To prepare the system for operation, complete the following steps.
- Ensure that you have the electrostatic discharge (ESD) wrist strap attached. If not, attach it now.
- Replace the service access cover.
- Slide the cover
on to the system unit. - Close the latch release
by pushing it in the direction shown. Figure 26. Installing the service access cover 
- Slide the cover
- Ensure that you have the electrostatic discharge (ESD) wrist strap attached. If not, attach it now.
- Reseat the disk drives into their slots.
- Unlock the drive bay handle
by pressing it and pulling it out toward you. If the handle
is not all the way out, the drive does not slide into the system.
See Figure 27.
- Hold the drive by the top and bottom edges as you position the drive, and insert it into the drive slot.
- Slide the drive all the way into the system, and push
the drive bay handle
in until it locks, as shown in Figure 27. Important: Ensure that the drive is fully seated and is all the way into the system.Figure 27. Replacing a disk drive 
- Unlock the drive bay handle
- Replace the Slimline media device (DVD) (if one was removed).
- Align the Slimline media device
with the media bay, and support the bottom of the device
as you slide it halfway into the system. See Figure 28. - Push the Slimline media device fully into the system
until the device locks in place.
Figure 28. Replacing a Slimline media device 
- Align the Slimline media device
- Replace the control panel.
- Align the control panel with the control panel slot.
- Slide the control panel into the slot, and press on
the terracotta tab to lock it in place.
Figure 29. Replacing the control panel 
- Place the CEC enclosure into the operating position.
- Ensure that you have the electrostatic discharge (ESD) wrist strap attached. If not, attach it now.
- Unlock the blue rail safety latches
by lifting them upward. - Push the system unit
back into the rack until both system unit release latches
lock into position. - Secure the enclosure to the rack with screws, if screws
were removed when preparing the enclosure for service.
Figure 30. Placing the CEC enclosure into the operating position 
- Replace the front cover.
- Slide the cover onto the system.
- Close the release latches by pushing in the direction shown in Figure 31. The cover snaps into place and has an indentation where you can hold onto it more easily.
- Replace the shipping screws
.
Figure 31. Installing the front cover 
- Attach the electrostatic discharge (ESD) wrist strap.
- Reconnect all cables, except for power cords. See Table 2 and Figure 32.
If optical Ethernet connections are used, use proper cleaning procedures.Important: The optical cable plugs (LC connectors) and ports (SFPs) must be cleaned before connecting them. Use cleaning tool 54Y4392 or IBM-approved alternative. After cleaning SFPs with the tool, use air bulb 45D2645 or IBM-approved alternative. For detailed procedures, refer to current DS8000 Info Alerts or contact your next level of support.
Table 2. CEC enclosure cable connections Connection Description P1-T1 (HMC 1) FSP Ethernet P1-T2 (HMC 2) FSP Ethernet P1-C6-T1, P1-C6-T2 PCIe to I/O enclosures (Model 980, 984) P1-C7-T1, P1-C7-T2 PCIe to I/O enclosures (Model 980, 984) P1-C7-T1, P1-C7-T2, P1-C7-T3, P1-C7-T4 PCIe to I/O enclosures (2U) (Model 983) P1-C8-T1, P1-C8-T2 i2c to RPCs P1-C10-T1, P1-C10-T2 LPAR Ethernet P1-C10-T3, P1-C10-T4 Customer network (optional feature, if used) P1-C11-T1, P1-C11-T2
P1-C11-T3, P1-C11-T4Customer network (optional feature, if used) P1-C12-T1, P1-C12-T2 RS485 to RPCs Figure 32. CEC enclosure location codes (rear view) (Models 980 and 984) 
- Reconnect the power cords
to the CEC enclosure. See Figure 33. - Fasten the power cords to the enclosure by using the hook-and-loop
fasteners
. Figure 33. Connecting the power cords 
- Verify that the CEC enclosure has power available.
See Figure 34.
- At the rear of the CEC enclosure, view the CEC enclosure power supply DC LEDs.
- Are all DC (output) LEDs flashing?
- Yes, continue with the next step.
- No, ensure that the power cords are properly connected. If no connection problem is found, contact your next level of support.
Figure 34. Location of the power supplies and LEDs (Models 980, 983, 984) 
- Wait up to 5 minutes for the CEC enclosure control panel
power button LED
to flash. See Figure 35. Note: This ensures that the CEC enclosure is in the power-off state.- Is the power button LED flashing?
- Yes, go to the next step.
- No, ensure that the CEC enclosure power supplies are fully seated. The possible failing FRUs are the CEC enclosure system backplane, I2C interface card and cables, and control panel. You can also call the next level of support.
Figure 35. Control panel LEDs 
- Is the power button LED flashing?
- Close the rear door of the rack.
- Exit this service information center parts exchange procedure and return to the procedure that sent you here.